Skip to header Skip to main navigation Skip to main content

Main navigation

  • Home
      • 認識我們
      • 核心價值
      • 組織架構
      • 經營團隊
      • 永續發展
      • 多元共融
      • 國際認證
      • 責任採購
      • 公共關係
      • 服務據點
      • 從業道德
      • 訊息諮詢
      • 產品列表
      • 攝影鏡頭
      • 化學生技
      • 擴散
      • 薄膜
      • 蝕刻
      • 微影
      • 檢測 & 其它
      • 維修校正
      • 批次式晶圓濕製程設備
      • 單晶圓濕製程設備
      • 先進烘烤設備
      • 單片面板級解離層塗佈設備
      • 批次面板級濕製程設備
      • 單片面板級濕製程設備
      • 玻璃解離層塗佈設備
      • 暫時性貼合設備
      • 剝離清洗設備
      • 剝離設備
      • 12吋晶圓再生服務
      • 經營者的話
      • 永續委員會
      • 利害關係人
      • 重大性分析
      • 誠信務實
      • 溫馨職場
      • 環境友善
      • 回饋社會
      • 溫室氣體減量
      • 活動影像集錦
      • 永續報告書
      • 員工福利
      • 搜尋職缺
      • 學習成長
      • 公司概況
      • 營收報告
      • 財務報表
      • 董事會
      • 委員會
      • 內部稽核
      • 風險管理
      • 規章制度
      • 執行報告
      • 股東會
      • 法說會
      • 股價股利
      • 重大訊息
      • 聯絡我們
      • 最新消息
      • 活動展覽
      • 科儀新知
  • English
  • 繁體中文
辛耘公司 SCIENTECH
辛耘企業股份有限公司
We Make It SIMPLE

電池混合物的黏度量測

Breadcrumb

  • Home
  • 科儀新知
  • 電池混合物的黏度量測

2023年01月電子報

電池是一種儲存化學能並將其轉化為電能的裝置。電池由電化學或原電池製成,由陽極/陰極隔板和電解質組成。每個金屬電極和電解質之間存在電位差。陰極具有正電位(相對於溶液),陽極具有負電位(相對於溶液)。這種電位差允許電子從陽極流向陰極,從而產生電流。發生這種情況時,正離子會通過電解質溶液移動,該溶液的黏度會影響離子的移動,從而影響電池的電導率和性能。

電池元件示意圖

黏度是流體流動的阻力(Viscosity is defined as the resistance to flow!)。剪切黏度對分子水平上發生的事情很靈敏,因為在分子水平上,流體的黏度是流體分子之間的摩擦力,它反映了分子如何相互作用以及這些相互作用將如何影響分子結構。分子的大小、形狀和相互作用可以通過黏度以及任何可能的微觀結構反映出來。

顯示流體從左向右運動以及剪切率如何垂直於流動方向變化的圖表

黏度取決於電池的特性,例如離子的大小、離子的溶劑、電解質的性質和溶劑的性質。電池的電導率和性能將取決於黏度和介電常數。遷移率與黏度和離子大小成反比,因此黏度越高,電導率越低。

介電常數定義為溶液分子被局部電場極化的方式的反映。這意味著更高的介電常數溶劑更容易將鹽結合成組成離子,從而使溶液中產生更高的離子濃度和更高的電導率。為實現高導電性,要尋找具有低黏度和高介電常數的配方。

不同電池溶劑的介電常數與黏度

有許多電池類型,包括可充電(或二次)和不可充電(或一次)。在可充電電池類型中,鋰離子電池特別受關注,因為它們用於手機、筆記本電腦、電動工具等設備以及快速擴展的應用——電動汽車 (EV)。鋰離子電池電解質溶液通常由環狀碳酸酯(例如碳酸亞乙酯(EC))和線性碳酸酯(例如碳酸二甲酯(DMC)或碳酸甲乙酯(EMC))的二元混合物組成。

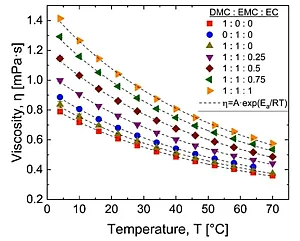
在一項監測溫度、鹽濃度和溶劑濃度如何影響黏度的實驗中,RheoSense 團隊使用 VROC ® initium one plus 自動黏度計測量了包含不同比例的 DMC、EMC、EC 的各種電解質系統。我們的實驗表明,隨著溫度的升高,各種樣品的黏度都會降低。它還表明,當您將 EC 添加到溶液中時,黏度會增加,並且黏度越大的混合物隨著溫度的升高黏度下降得越快。

黏度與溫度變化

電池電導率隨著鋰鹽濃度 (LiClO4) 的增加而增加,但在達到某個閾值後,電導率會隨著鹽濃度的增加而降低,因為在此濃度範圍內的電導率主要受溶液黏度的影響,溶液黏度會隨著鹽濃度的增加而增加。

鹽濃度對電導率影響

我們的數據顯示電池溶液表現出牛頓行為(黏度恆定,因此與剪切率無關),添加 EC 會增加電解質的黏度,這表明將 EC 添加到基於碳酸鹽的電解質中可能有助於鹽離解和更高的介電常數。增加溶液的鹽濃度也會增加溶液的黏度。在不含 EC 的溶液中,較高的鹽濃度可能是有益的,因為它可以促進離子解離,這最終會增加系統的電導率。

電解質的黏度與 LiClO4 濃度

這些數據表明,較低的黏度值和較高的介電常數值會提高不同電解質溶液的電導率和性能。我們的實驗數據和結果還展示了如何結合不同的電解質濃度、溶劑和溫度來實現電池配方所需的特性。要優化性能,您必須在濃度和溫度之間取得平衡,由於黏度對所有這些因素都很敏感,因此您能夠準確可靠地使用黏度測量來優化電池性能。

參考文獻:https://ctherm.com/resources/newsroom/blog/battery_viscosity/

◉了解流體行為-測量絕對黏度

VROC ® 技術重新定義了黏度測量方式。 所有 RheoSense 黏度計僅需要少量樣品,控制從低到非常高的剪切率,並測量牛頓和非牛頓液體的真實黏度。VROC ®(黏度計-R heometer -on -a- C hip)結合了微流體和 MEMS(微電子-機械系統)技術來測量寬範圍的動態黏度。RheoSense的黏度計為複雜液體(即非牛頓流體)提供了一種經濟高效的替代方案。

當測試液體流過其矩形狹縫微流體通道時, VROC ® 池通過測量壓降來讀取黏度。基於Hagen–Poiseuille流,它是流變原理的著名應用(K. Walters,Rheometry,Chapman and Hall,London,1975),被列入美國藥典<914> 章。

VROC ®矩形狹縫微流體示意圖

當測試液體被迫流過流動通道時,壓力傳感器陣列測量壓力作為位置的函數。圖 2 顯示了兩個甘油樣品的原始測量數據示例。更高的甘油含量會導致更高的黏度和更大的通過微通道的壓降(黑色方塊)。另一方面,較低的濃度會導致較低的黏度,從而導致較小的壓降(紅色方塊)。

低濃度和高濃度甘油樣品的壓力與位置函數關係

 

相關產品

RheoSense

RheoSense 成立於2001年,是全球化經營之專業黏度計,黏度測量設備製造商,專利 VROC (Viscometer-Rheometer-On-a-Chip) 是採用微機電技術設計微流體通道結合壓力傳感器之晶片,用以實現微小體積黏度分析要求。雖然是微量體積分析技術,VROC 亦保有黏度量測的高精確性及高再現性。已經成為生物技術,製藥和新興蛋白質治療產業的領導者。 創新的 m-VROC™ 和 microVISC™ 黏度計具有專利晶片微通道流變儀(VROC®)技術。可同時分析牛頓及飛牛頓流體的剪切黏度與拉伸黏度。 利用先進的 MEMS 微流體學技術,重新定義了黏度分析可行性與適用性,提供最小樣品量分析可性,以及卓越的易用性和準確性。這套系統目前廣泛應用在生物製藥業、血液測量、油墨業等產業上。 世界500強企業和領先的研究型大學已經對 RheoSense 儀器進行了嚴格的測試、認可和採用。同時此測試方法收錄於美國藥典USP<914>Pressure Driven Methods測試方法中。

可攜式小體積微量黏度計 microVISC™

Use the arrow keys to navigate between tabs

微型 VISC™是您進行常規粘度測量的最終解決方案。這款便攜式小型樣品粘度計經過直觀設計,因此用戶可以在一分鐘內開始操作。它採用RheoSense專利Viscometer/Rheometer-on-a-Chip (VROC®)技術,並提供準確和可重複的粘度計測量,使用樣品尺寸小至100微升。電池供電的便攜,微 VISC™可以在任何實驗室位置或在現場部署。micro VISC™已被全球領先的公司採用,作為快速,簡便和快速粘度測量的選擇。高精度和準確性可以節省時間和資源。

特點

  • 僅需100μL的樣品
  • 提供非常寬的動態粘度範圍 0.2-20,000 cP
  • 實現極高和低剪切率
  • 自動測試以快速獲得結果
  • 密閉式可避免蒸發和污染
  • 輕鬆測量牛頓流體和非牛頓流體
  • 設備體積輕巧
  • 提供非凡的精度和準確性
Minimum Sample Volume100 µL
Shear Rate Range, s-11.7 ~ 5,800
Viscosity Range, mPa-s (cP)0.2 ~ 20,000
Temperature Range
(with Optional Temperature Controller)
18 ~ 50 °C
PortableYes
Accuracy2% of Reading 
Repeatability0.5% of Reading
Temperature SensorBuilt-In
SoftwareOptional - Capabilities export data into excel & PDF
Non-Newtonians?Yes
Temperature Accuracy0.15

了解流體行為-測量絕對粘度
與VROC ®  技術,RheoSense了流變的標準原理,並通過加入微流體,同時減小裝置的與MEMS製造大小(微機電系統)創建的動態微樣品粘度計。結果是一個新平台,不僅在所需的樣品量方面,而且在測量範圍和精度方面,都提供了遠遠超出傳統粘度計限制的功能。

科學原理
測量池或“芯片”包含一個矩形的狹縫流動通道,該通道由硼矽酸鹽玻璃製成,具有均勻的橫截面積。樣品以恆定的流速通過流道注入,在流道中,安裝在基座內的多個壓力傳感器監控從​​入口到出口的壓降。壓降與邊界壁處的剪應力相關。剪切速率和剪切應力與矩形狹縫的幾何形狀以及允許粘度測量的流速直接相關。

  • 符合美國藥典USP

自動化微流體黏度分析儀 VROC initium

Use the arrow keys to navigate between tabs

VROC®initium是領先的自動粘度計,可真正測量具有最高的準確性和可重複性的粘度。 其出色的分辨率可以測量流體動力學尺寸並量化顆粒-顆粒相互作用和蛋白質穩定性

特點

  • 全球第一台自動化高通量粘度計
  • 樣品量低至26μL
  • 剪切率/溫度掃描
  • 樣品回收
  • 96孔板/ 40樣品瓶架
  • 粘度範圍:0.5-1,000 mPa-s
  • 4-70°C
  • 易於使用
  • 符合21CFR Part 11 
Model & Specification
Model IModel II
Internal Solvent DeliveryExternal Solvent Delivery
Three Solvent Bottles (250 mL, 500 mL)Four Solvent Bottles (1 Liter)
30 Samples per Solvent Charge96 Samples per Solvent Charge
Nominal Cleaning CycleFaster Cleaning Cycle
Nominal ThroughputHigher Throughput

微流體設備可對流量特性進行精確控制,並減少測量所需的體積。請注意,設備體積僅為1.5左右。另外,微流體設備能夠實現高通量測量和多功能性,從而降低成本。 
MEMS設備使用微製造技術將機械元件,傳感器,致動器和電子設備集成在一個普通的矽基板上,以實現非常高的精度和非常小的規模。
微流體技術和MEMS技術的結合,使RheoSense能夠重新定義粘度測量技術,並開發出更小,更智能,更快的微升粘度計,該粘度計可以在各種條件下測量流體的粘度。其結果是,  VROC ®技術所提供的功能遠遠超出了傳統的粘度計的限制。 

  • 符合美國藥典USP

m-VROC™ 高剪切力黏度計—控制剪切率和小樣品

Use the arrow keys to navigate between tabs

m-VROC™是全球500強公司和領先的研究型大學在全球範圍內使用的領先的自動化小型樣品粘度計。能夠最苛刻的應用包括小樣品蛋白質治療劑的  米 -VROC ™設有最寬的動態範圍(高剪切速率黏度測量高達 1,400,000 s-1)與 樣品的少至20微升。

特點

  • 準確度:讀數的2%
  • 重複性:讀數的0.5%
  • 粘度範圍:0.2〜100,000 mPa-s(或cP)
  • 剪切率範圍:0.5〜1,400,000 s -1
  • 小樣品量:20 µL +
  • 粘度計尺寸:10" x 15.5" x 7"
Minimum Sample Volume20 µL
Maximum Shear Rate, s-10.5 ~ 1,400,000 s-1
Viscosity Range, mPa-s (cP)0.2 ~ 100,000 cP
Temperature Range* 4~70 o C 
Accuracy2% of Reading
Repeatability0.5% of Reading
Temperature SensorBuilt-In
SoftwareIncluded
Non-Newtonians?Yes!
Temperature SweepYes!
Shear Rate SweepYes!
  • 控制剪切率和小樣品 
  • 符合美國藥典USP

服務據點

廠區訊息

社群媒體

線上互動

聯絡我們

線上留言

關係企業

上海 | 美國 | 歐洲

入廠申請

訪客入口網站

承攬商管理

供應商入口網站

公司簡介
認識我們
核心價值
聯絡我們
產品服務
代理產品
自製設備
晶圓再生
永續發展
經營者的話
利害關係人
永續報告書
人才招募
學習成長
員工福利
搜尋職缺
投資人關係
營收報告
財務報表
法說會議
新聞中心
最新消息
活動展覽
科儀新知

Copyright ©SCIENTECH. 本網站所提及之公司名稱、產品、圖片與商標均屬原註冊公司所有。